반응형
🔧 반도체 Etch 챔버 압력 vs APC 밸브 포지션: 수식‧모델링 요약
목표
고정된 가스 유량 (예: 100 sccm)에서 챔버 압력 P와 APC 밸브 개도 θ 사이의 관계를 실무에 바로 쓸 수 있는 형태로 정리합니다.

1. 기본 가정과 변수 정의
기호 의미 단위(권장)
| Q | 가스 유량 (mass flow rate) | Torr · L / s → sccm에 Q = (sccm) × 760 / 60 변환 |
| P | 챔버 정상상태 압력 | Torr |
| Sₚ | 메인 펌프 정격 펌핑 속도 | L / s |
| C(θ) | APC 밸브 컨덕턴스 | L / s |
| S_eff | 유효 펌핑 속도 | L / s |
2. 1차 원리로부터의 핵심 식
2‑1. 질량 보존 (기본식)
Q = P × S_eff
(가스 유입량 = 챔버에서 배출되는 가스량) (agilent.com)
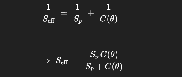
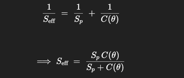
2‑2. 유효 펌핑 속도
펌프와 밸브가 직렬로 연결된 경우 (대부분의 다운스트림 압력 제어 방식) (Goldleaf Scientific, Meyer Tool & Mfg.)

2‑3. 압력‑밸브 포지션 결합식
식 (1)(2)를 결합하면

이는 고정 Q에서 압력 P가 APC 밸브 컨덕턴스 *C(θ)*의 역함수임을 보여줍니다.
3. 밸브 컨덕턴스 C(θ) 모델 선택지
밸브 유형 권장 모델 비고
| 버터플라이 (가장 보편적) | C(θ)=Cmax sin2 (πθ/100)C(\theta)=C_\text{max}\,\sin^2\!\bigl(\pi\theta/100\bigr) | 개도 0 – 100 %를 θ로 환산 |
| 오리피스/슬라이드 | C(θ)=k1A(θ)T/MC(\theta)=k_1A(\theta)\sqrt{T/M} (모세큘러 플로우) | A(θ)A(θ): 실제 개구 면적 |
| 실험치 기반 | 다항식 또는 로지스틱 피팅 C(θ)=Cmax1+e−k(θ−θ50)C(\theta)=\dfrac{C_\text{max}}{1+e^{-k(\theta-\theta_{50})}} | 피드백 제어기·가상 메트로로지에 적합 |
컨덕턴스 정의와 설계 의도는 제조사 매뉴얼 또는 유량 Cv‑차트에 명시돼 있습니다; 현장 계측으로 리‑피팅하면 모델 오차를 최소화할 수 있습니다. (mks.com)
4. 파라미터 도출 절차 (실무용 Check‑list)
- 기본 사양 확보
- 펌프 정격 Sₚ 확보 (펌프 데이터시트).
- 밸브 타입·개도 범위 확인.
- 가스 유량 → Torr·L/s 변환
예) 100 sccm → ≈1.27 Torr·L/s (25 ℃ 기준). - Step Sweep 캘리브레이션
Q 고정 → θ 0 % → 10 % → … → 100 % 순차 변경, P 측정.
최소 20 points 권장 (PID noise 미분 효과 필터링). - 컨덕턴스 모델 피팅
- 버터플라이면 \sin^2 모델 초기값 → 비선형 최소제곱.
- R² < 0.98이면 로지스틱·다항식 시도.
- 결합식 재검증
P_pred(θ) vs P_meas 오차 ≤ ±3 %이면 OK.
오차 크면 Sₚ 산출값과 라인 저항(벤드·배관) 재검토. - 제어 로직 반영
도출된 P(θ)을 역함수 θ(P_set)로 치환 → Feed‑forward + PID.
5. 실전 예시 (버터플라이 밸브)
가정
- Q = 1.27 Torr·L/s (≈ 100 sccm)
- Sₚ = 1500 L/s
- C_max = 3000 L/s (설치 밸브 기준)

θ (%) C(θ) (L/s) P (Torr) (계산)
| 20 | 3000 × 0.116 ≈ 348 | ≈ 0.014 |
| 50 | 3000 × 0.5 = 1500 | ≈ 0.0017 |
| 80 | 3000 × 0.939 ≈ 2817 | ≈ 0.00076 |
→
θ를 20 % → 80 %로 열면 P가 약 18배 감소. 실제 챔버에서의 압력 도달 속도는 펌프 응답·가스 열효과 등을 고려해 소폭 차이가 나므로, Gain scheduling을 통해 보정해 줍니다.
6. 모델 개선 아이디어
접근법 장점 사용 시점
| 가상 메트로로지 (PLS, SVR) | 센서 >30종 활용, 비선형 포함 | Recipe 별 압력 정밀도가 ±1 mT 필요할 때 |
| 물리+데이터 하이브리드 | 저데이터 환경에 강건 | 신규 챔버 초기 세트업 |
| 온라인 EKF/Kalman | 밸브 마모·펌프 열화 실시간 추정 | 장기 Auto‑calibration |
7. 정리
- 핵심식 P = Q(Sₚ+C)/SₚC 는 챔버 압력‑밸브 포지션 관계의 출발점.
- 컨덕턴스 모델을 실제 밸브 형태에 맞춰 선택·피팅해야 오차가 < ± 3 %로 수렴.
- 고정 가스 유량 조건에서 캘리브레이션한 모델은 Feed‑forward 제어, 가상 메트로로지, Recipe 최적화에 모두 활용 가능.
이 글이 APC 밸브‑압력 모델링의 설계서 역할을 하길 바랍니다. 궁금한 점이나 추가 실험 설계가 필요하면 댓글로 남겨 주세요! 🚀
반응형
'기타' 카테고리의 다른 글
| 오늘 운세, 8월 10일[음력 윤 6월 17일] 일진: 신해(辛亥) (3) | 2025.08.10 |
|---|---|
| 압력을 고정했을 때, Gas Flow (Q) 와 APC 밸브 포지션 (θ) 사이의 수식 (1) | 2025.07.28 |
| 블로그스팟(Blogger)에 가비아(Gabia)에서 구매한 도메인의 하위 도메인(서브도메인) 연결 (0) | 2025.07.06 |
| 혼동행렬 True Positive, False Positive, False Negative, True Negative 쉽게 구분하기 (0) | 2025.07.05 |
| 전국민25만원 소비쿠폰 지급확정! 신청부터 활용까지 한번에 (4) | 2025.06.25 |