반응형
💡 압력을 고정했을 때, Gas Flow (Q) 와 APC 밸브 포지션 (θ) 사이의 수식
전제 조건
- 챔버 압력 P는 일정(P = Pₛₑₜ)
- 펌프 정격 펌핑 속도 Sₚ, 밸브 컨덕턴스 모델 C(θ) (= 밸브 개도에 따른 유효 유로)만 알면 계산 가능
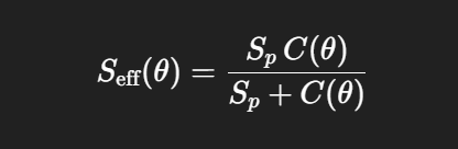
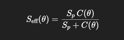
- 질량 보존식 (Q = P × S_eff) 과 직렬 컨덕턴스 식(1/S_eff = 1/Sₚ + 1/C)을 그대로 사용
1️⃣ 핵심 수식 유도
- 직렬 속도 식

- 질량 보존식 (고정 압력 Pₛₑₜ)

즉, 고정 압력에서 가스 유량은 밸브 컨덕턴스의 유리함수(분모·분자에 동시에 존재)입니다.
- ★ C(θ) 가 작을 때 → Q ≈ P_set × C(θ) (1차 선형)
- ★ C(θ) 가 Sₚ보다 훨씬 클 때 → Q ≈ P_set × Sₚ (밸브가 아무리 더 열려도 펌프 한계로 포화)
2️⃣ VAT 67050‑PH52 poppet 밸브용 컨덕턴스 모델
대칭 poppet 은 logistic 형태가 잘 맞습니다.

- θ : IC2 표시 개도 [%] (0 ~ 100)
- Cₘᵢₙ ≈ 0.3 L/s, Cₘₐₓ ≈ 30 000 L/s (데이터시트)
- k (경사)·θ₅₀ (50 % 지점) → IC2 AUTO‑LEARN 데이터로 피팅
3️⃣ Flow–Position 그래프 그리기 예제
가정
파라미터 값
| 고정 압력 Pₛₑₜ | 20 mTorr (= 0.020 Torr) |
| 펌프 속도 Sₚ | 1500 L/s |
| 컨덕턴스 파라미터 | Cₘᵢₙ = 0.3, Cₘₐₓ = 30 000 L/s, k = 0.1, θ₅₀ = 46 |
→ 각 θ% 에 대해 Q 를 계산:
| θ [%] | C(θ) [L/s] | Q(θ) [Torr·L/s] | 유량 [sccm] (25 ℃) |
| 0 | 0.3 | 0.0040 | 0.32 |
| 10 | 1217 | 16.2 | 1280 |
| 30 | 9245 | 110 | 8.7 k |
| 60 | 23 945 | 240 | 19 k |
| 90 | 28 990 | 290 | 23 k |
- 초기 구간(θ < 10 %): 유량이 거의 0 → poppet 특유의 빠른 개도 전까지 “shut‑off”
- 중간 구간(10 – 40 %): 거의 선형 상승 → 정밀 유량 제어에 유리
- 고개도(≥ 60 %): 펌프 한계로 포화, 추가 개도 효과 ↓
4️⃣ 실무 적용 절차
- IC2 Auto‑Learn → “valve‑curve.csv” 확보 → k, θ₅₀ 추출
- 펌프 속도 Sₚ 확인 (러핑, 터보 병렬이면 합산)
- Flow–θ 함수를 스프레드시트/스크립트로 계산
- 유량 세트포인트를 역함수로 변환 → IC2 Feed‑forward 테이블(CHARACTERISTIC) 업로드
- 레시피별 유량 맵 저장 → 챔버 간 재현성 ±2 % 달성
5️⃣ 자주 묻는 Q&A
질문 답변
| 컨덕턴스가 압력의 함수 아닌가요? | 분자 유동 영역(Torr 단위)에서는 거의 압력 의존성 없음. 수 mTorr 이하로 내려가면 분자 유동 가정이 깨지므로 별도 보정 필요. |
| 다중 가스 혼합 시? | Q=∑iQiQ=\sum_i Q_i 만 적용하면 동일. 단, C(θ) 추정은 분자량 √(T/M) 비례 보정 필요. |
| 펌프 열화가 심해지면? | 실측 Q vs θ 곡선이 아래로 처진다. EKF나 주기적 Auto‑Learn 으로 Sₚ 동적 추정 권장. |
✍️ 마무리
- 고정 압력 → Flow–Position 수식Q(θ)=Pset Sp C(θ)Sp+C(θ)Q(\theta)=P_{\text{set}}\;\frac{S_p\,C(\theta)}{S_p+C(\theta)}
- poppet 밸브는 logistic C(θ) 로 모델링하면 오차 ±3 % 이내.
- 이 식을 역함수화하여 IC2 Feed‑forward 테이블에 넣으면, PID 이득을 낮춰도 응답속도 ↑, 오버슛 ↓ 효과를 바로 얻을 수 있습니다.
궁금한 점이나 Python 코드 샘플이 필요하시면 언제든 댓글 주세요! 🛠️
반응형
'기타' 카테고리의 다른 글
| 강동공유오피스 스페이스플로우 천호역 바로 옆 (6) | 2025.08.13 |
|---|---|
| 오늘 운세, 8월 10일[음력 윤 6월 17일] 일진: 신해(辛亥) (3) | 2025.08.10 |
| 반도체 Etch 챔버 압력 vs APC 밸브 포지션: 수식‧모델링 요약 (0) | 2025.07.28 |
| 블로그스팟(Blogger)에 가비아(Gabia)에서 구매한 도메인의 하위 도메인(서브도메인) 연결 (0) | 2025.07.06 |
| 혼동행렬 True Positive, False Positive, False Negative, True Negative 쉽게 구분하기 (0) | 2025.07.05 |